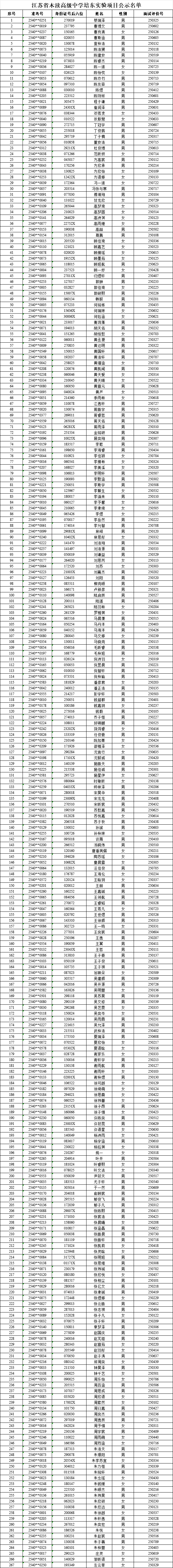
2025.6.25面试名单/木渎高级中学
作者:小亚老师发布时间:2025-11-14 13:23:05 浏览量:299次
面试评价具体安排
报到时间:6月26日上午7:30前
报到地点:学术交流中心报告厅1
学校地址:苏州市吴中区木渎镇灵天路588号
注意事项 1. 所有考生及家长从学校南门进校,车辆统一停在南停车场; 2. 考生请携带中考准考证、身份证或户口本,报到后在工作人员的引领下到相关场地参加面试,家长统一在报告厅1休息; 3. 面试时间:8:30-11:30; 4.所有考生请特别关注当日面试评价填涂所用号码即为公示名单中的“面试评价号”。


声明:以上信息均来源于互联网,一点升学网整理发布仅供参考,以上学校相关内容均不代表一点升学网意见。考生填报志愿请以省(市)教育考试院或学校官方最新公布为准。
升学咨询
留下你的信息,规划老师一对一指导你!
推荐学校
招生简章
- 1【2026招生简章】南京航空航天大学苏州附属中学2026年“雏鹰计划”飞行员课程基地班招生简章
- 2【2026招生简章】陆慕高级中学凌云体育班报考须知
- 3【2026招生简章】苏州市吴中区甪直高级中学2026年鲁美班(美术特长)招生简章
- 4【2026招生简章】苏州市吴中区金山高级中学“美术实验班”(鲁美附中合作班)
- 5【2026招生简章】桃坞高中空乘班
- 6【2026招生简章】苏州六中艺术班招生简章
- 7【2026招生简章】吴县中学(浒关校区)2026年美术特色课程班招生简章
- 82025.7.1综合成绩公示/南航苏州附中唯亭
- 9【2025自招简章】相城实验项目·相城中学
- 10【2025自招简章】人大附中苏州学校“未来科技英才战略实验班”
小程序端
客服
