一点升学网苏州站,小升初、初升高一站式升学规划、资讯服务平台
高考站
小程序端
客服
帮助
用户注册
|
登录
|
会员特权
一点升学
搜索
咨询时间:8:00~24:00
15051555503
网站首页
学校大全
小升初资讯
中考资讯
高考资讯
题库中心
预测高中
学校开放日
进入高考版
您当前位置:
首页
>
题库中心
>
新高考湖南永州市2026年高考第二次模拟考试
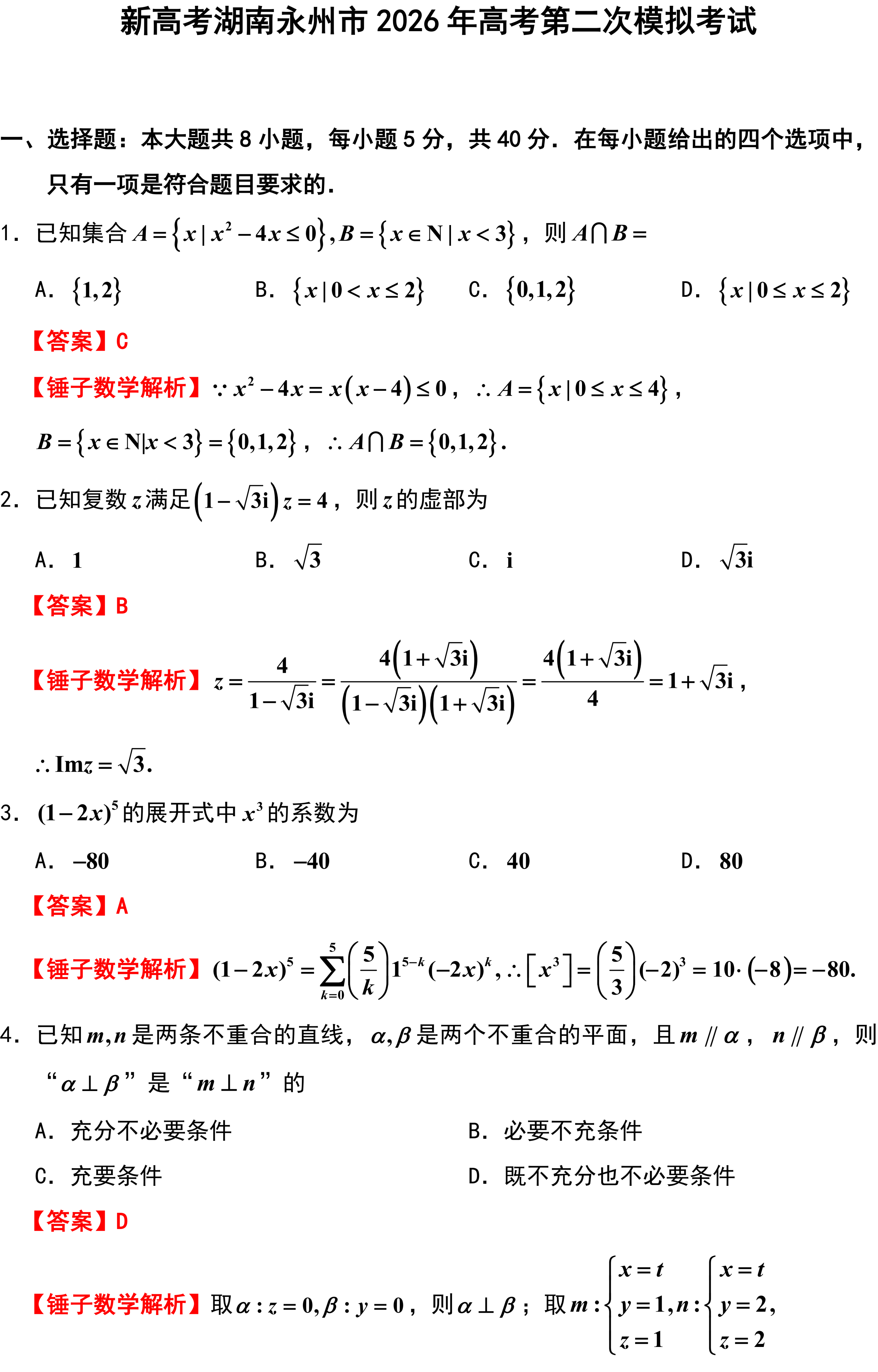
新高考湖南永州市2026年高考第二次模拟考试
年级:高三
科目:数学
类型:未知
学期:上学期
上传时间:2026-03-03
马上下载
扫一扫进入小程序更方便
择校咨询
留下你的信息,择校老师一对一指导你!
姓名:
电话:
年级:
请选择年级
一年级
二年级
三 年级
四年级
五年级
六年级
初一
初二
初三
高一
高二
高三
性别:
请选择性别
男
女
咨询学校:
提交申请
网站首页
学校大全
会员中心